药捷安康-B登陆港交所 盘中涨幅达80%
AI导读:
药捷安康-B今日登陆港交所,盘中涨幅扩大至80%,中签一手赚超5000港元,总市值超94亿港元。公司专注于发现及开发肿瘤、炎症及心脏代谢疾病的小分子创新疗法。
药捷安康-B今日成功登陆港交所,盘中涨幅迅速扩大至80%,中签一手可赚超5000港元,公司总市值现已超94亿港元。
资料显示,药捷安康作为一家以临床需求为导向、处于注册临床阶段的生物制药公司,始终专注于发现及开发肿瘤、炎症及心脏代谢疾病的小分子创新疗法。
药捷安康-B公司全球发售15,281,000股H股,每股H股定价为13.15港元,所得款项净额达1.6亿港元。
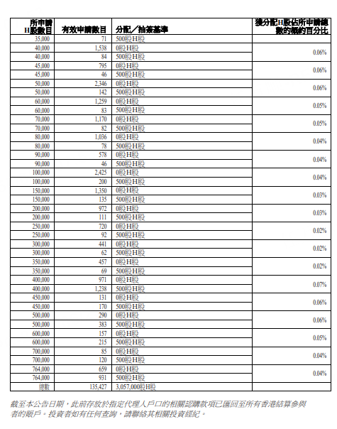
香港公开发售部分接获高达3,419.87倍的认购,一手(500股)中签率仅为0.8%。国际发售则录得0.97倍认购。经重新分配后,公开发售股份已增加至305.7万股,占发售总数的20%。股份已于今日(23日)正式挂牌。
值得一提的是,五名基石投资者江北医药、康方生物、华盛敦行、药石地平线及科瓴安,合计认购了1.3亿元的公司股份。

(文章来源:哈富证券)
郑重声明:以上内容与本站立场无关。本站发布此内容的目的在于传播更多信息,本站对其观点、判断保持中立,不保证该内容(包括但不限于文字、数据及图表)全部或者部分内容的准确性、真实性、完整性、有效性、及时性、原创性等。相关内容不对各位读者构成任何投资建议,据此操作,风险自担。股市有风险,投资需谨慎。如对该内容存在异议,或发现违法及不良信息,请发送邮件至yxiu_cn@foxmail.com,我们将安排核实处理。

