药捷安康-B招股结果揭晓 基石投资者认购1.3亿
AI导读:
药捷安康-B公布招股结果,全球发售15,281,000股H股,每股13.15港元,净额1.6亿港元。香港公开发售获超3400倍认购,中签率0.8%。五名基石投资者共认购1.3亿元股份,为未来发展提供支持。
药捷安康-B (02617.HK)公布招股结果,公司全球发售15,281,000股H股,每股H股13.15港元,所得款项净额1.6亿港元。此次招股备受市场关注,展现了投资者对生物医药领域的热情。
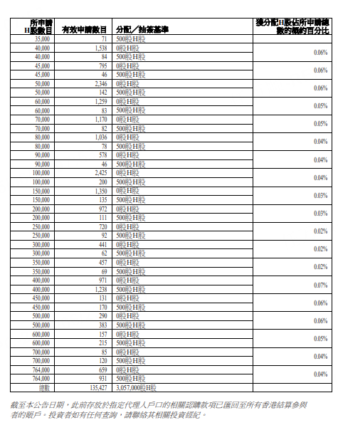
香港公开发售接获3,419.87倍认购,一手(500股)中签率0.8%。国际发售录得0.97倍认购。经重新分配,公开发售股份已增加至305.7万股,占发售总数20%。股份预期今日(23日)挂牌,市场对其上市表现充满期待。
五名基石投资者江北医药、康方生物、华盛敦行、药石地平线及科瓴安合共认购1.3亿元公司股份,为药捷安康-B的未来发展提供了有力支持。

(文章来源:哈富证券)
郑重声明:以上内容与本站立场无关。本站发布此内容的目的在于传播更多信息,本站对其观点、判断保持中立,不保证该内容(包括但不限于文字、数据及图表)全部或者部分内容的准确性、真实性、完整性、有效性、及时性、原创性等。相关内容不对各位读者构成任何投资建议,据此操作,风险自担。股市有风险,投资需谨慎。如对该内容存在异议,或发现违法及不良信息,请发送邮件至yxiu_cn@foxmail.com,我们将安排核实处理。

